Pengumuman/SE

PENGUMUMAN NAMA TIM KAMPANYE CALON PRESIDEN DAN WAKIL PRESIDEN NO. URUT 3 PROVINSI MALUKU UTARA

Menindaklanjuti ketentuan pasal 12 Peraturan KPU Nomor 15 Tahun 2023 tentang Kampanye Pemilihan Umum yang menyatakan KPU, KPU Provinsi, dan KPU Kabupaten/Kota mengumumkan nama tim Kampanye Pemilu Presiden dan Wakil Presiden sesuai dengan tingkatannya, maka, KPU Provinsi Maluku Utara mengumumkan Nama Tim Kampanye Pasangan Calon Presiden dan Wakil Presiden Nomor Urut 3 SELENGKAPNYA KLIK DISINI

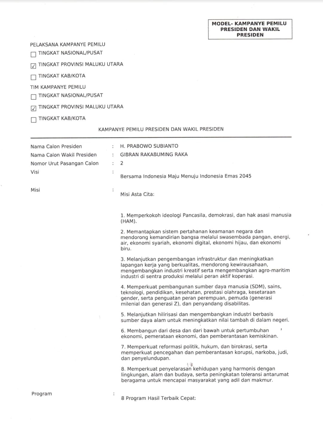
PENGUMUMAN NAMA TIM KAMPANYE CALON PRESIDEN DAN WAKIL PRESIDEN NO. URUT 2 PROVINSI MALUKU UTARA

Menindaklanjuti ketentuan pasal 12 Peraturan KPU Nomor 15 Tahun 2023 tentang Kampanye Pemilihan Umum yang menyatakan KPU, KPU Provinsi, dan KPU Kabupaten/Kota mengumumkan nama tim Kampanye Pemilu Presiden dan Wakil Presiden sesuai dengan tingkatannya, maka, KPU Provinsi Maluku Utara mengumumkan Nama Tim Kampanye Pasangan Calon Presiden dan Wakil Presiden Nomor Urut 2 SELENGKAPNYA KLIK DISINI

PENGUMUMAN NAMA TIM KAMPANYE CALON PRESIDEN DAN WAKIL PRESIDEN NO. URUT 1 PROVINSI MALUKU UTARA

Menindaklanjuti ketentuan pasal 12 Peraturan KPU Nomor 15 Tahun 2023 tentang Kampanye Pemilihan Umum yang menyatakan KPU, KPU Provinsi, dan KPU Kabupaten Kota mengumumkan nama tim Kampanye Pemilu Presiden dan Wakil Presiden sesuai dengan tingkatannya, maka, KPU Provinsi Maluku Utara mengumumkan Nama Tim Kampanye Pasangan Calon Presiden dan Wakil Presiden Nomor Urut 1 SELENGKAPNYA KLIK DISINI

PENGUMUMAN DCT DPRD PROVINSI MALUKU UTARA

Untuk melaksanakan ketentuan pasal 85 Peraturan KPU Nomor 10 Tahun 2023 tentang Pencalonan Anggota Dewan Perwakilan Rakyat, Dewan Perwakilan Rakyat Daerah, dan Dewan Perwakilan Rakyat Daerah Kabupaten/Kota serta Keputusan KPU Provinsi Maluku Utara Nomor 26 tahun 2023 tentang Penetapan Daftar Calon Tetap Anggota DPRD Provinsi Maluku Utara dalam Pemilihan Umum Tahun 2024, maka KPU Provinsi Maluku Utara mengumumkam Daftar Calon Tetap (DCT) Anggota DPRD Provinsi Maluku Utara dan Presentase Keterwakilan Perempuan dalam Daftar Calon Tetap (DCT) sebagaimana terlampir link dibawah ini SELENGKAPNYA KLIK DISINI

PENGUMUMAN DCS ANGGOTA DPRD PROVINSI MALUKU UTARA

Untuk melaksanakan ketentuan pasal 70 Peraturan KPU Nomor 10 Tahun 2023 tentang Pencalonan Anggota Dewan Perwakilan Rakyat, Dewan Perwakilan Rakyat Daerah, dan Dewan Perwakilan Rakyat Daerah Kabupaten/Kota serta Keputusan KPU Provinsi Maluku Utara Nomor 15 tahun 2023 tentang Penetapan DCS Anggota DPRD Provinsi Maluku Utara dalam Pemilihan Umum Tahun 2024, maka KPU Provinsi Maluku Utara mengumumkam Daftar Calon Sementara (DCS) Anggota DPRD Provinsi Maluku Utara dan Presentase Keterwakilan perempuan dalam Daftar Calon Sementara (DCS) sebagaimana terlampir link dibawah ini SELENGKAPNYA KLIK DISINI

Populer

Belum ada data.